-
Base de donnée véhicule complète à télécharger
3Vous pouvez télécharger ici un fichier Excel contenant des données techniques de plus de 1000 véhicules (2009 et avant). Cliquez ici pour la télécharger : LIEN
-
Outil pour calculer l’inertie véhicule
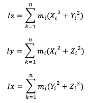
Un des paramètres d’entrée dans les outils de simulation de dynamique du véhicule est l’inertie du véhicule suivant 3 axes (Ixx, Iyy, Izz). Ces paramètres peuvent être mesurés, mais lorsqu’il …
-
Outil de conversion d’unités moteur
Ce fichier Excel permet des conversions simples des principales grandeurs moteur. En renseignant les caractéristiques du moteur et son point de fonctionnement, vous pouvez obtenir le couple, la puissance ou la PME. Cliquez ici …










